최단 경로 알고리즘은 말 그대로 가장 짧은 경로를 찾는 알고리즘으로, '길 찾기' 문제라고도 불린다.
최단 경로 문제는 보통 그래프를 이용하여 표현하는데 각 지점은 그래프에서 '노드'로 표현되고, 지점 간 연결된 도로는 그래프에서 '간선'으로 표현된다.
최단 거리 알고리즘은 다익스트라 최단 경로 알고리즘, 플로이드 워셜, 벨만 포드 알고리즘 이렇게 3가지 이다.
이 중, 다익스트라 최단 경로와 플로이드 워셜 알고리즘이 가장 많이 등장한다.
최단 경로 알고리즘에는 그리디 알고리즘과 다이나믹 프로그래밍 알고리즘이 적용된다.
1. 다익스트라 최단 경로 알고리즘
: 여러 개의 노드가 있을 때, 특정한 노드에서 출발하여 다른 노드로 가는 각각의 최단 경로를 구해주는 알고리즘이다.
다익스트라 최단 경로 알고리즘은 '음의 간선'이 없을 때 정상적으로 동작한다.
다익스트라 알고리즘은 최단 경로를 구하는 과정에서 '각 노드에 대한 현재까지의 최단 거리' 정보를 항상 1차원 리스트에 저장하며 리스트를 계속 갱신한다는 특징이 있다.
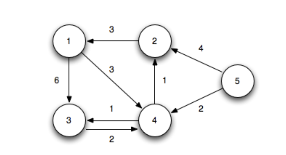
<예시>

1번 노드에서 각 노드에 도달할 수 있는 최단 경로를 구해보자 (방문한 노드는 회색으로 칠할 것이다.)
🔨 Step 1.
1번을 제외한 나머지 노드는 처음에 무한대로 초기화된다.
| 노드 번호 | 1 | 2 | 3 | 4 | 5 |
| 거리 | 0 | INF | INF | INF | INF |
🔨 Step 2.
방문하지 않은 노드 중 가장 작은 거리인, 노드 1부터 시작
노드 1에서는 노드 3과 노드 4 방문, 각각 6과 3으로 기존의 거리보다 작으므로 바꿔준다.
| 노드 번호 | 1 | 2 | 3 | 4 | 5 |
| 거리 | 0 | INF | 6 | 3 | INF |
🔨 Step 3.
방문하지 않은 노드 중 가장 작은 거리인, 노드 4에 방문
노드 4에서는 노드 2와 노드 3을 방문할 수 있고, 거리는 각각 (3+1), (3+1)로 노드 2,3 모두 기존 값보다 작으므로 바꿔준다.
| 노드 번호 | 1 | 2 | 3 | 4 | 5 |
| 거리 | 0 | 4 | 4 | 3 | INF |
🔨 Step 4.
방문하지 않은 노드 중 가장 작은 거리인, 노드 2와 노드 3 중 노드 2 방문 (최단 거리가 같은 경우 주로 번호가 작은 것 먼저 방문)
노드 2에서는 노드 1을 방문하고 거리는 (4+3)으로, 기존의 거리보다 크므로 변하지 않는다.
| 노드 번호 | 1 | 2 | 3 | 4 | 5 |
| 거리 | 0 | 4 | 4 | 3 | INF |
🔨 Step 5.
방문하지 않은 노드 중 가장 작은 거리인 노드 3을 방문
노드 3에서는 노드 4를 방문하고 거리는 (4+2)이므로, 기존의 거리보다 커서 변하지 않는다.
| 노드 번호 | 1 | 2 | 3 | 4 | 5 |
| 거리 | 0 | 4 | 4 | 3 | INF |
🔨 Step 6.
마지막 남은 노드 5를 방문하지만, 값이 INF라서, 거리는 변하지 않는다.
| 노드 번호 | 1 | 2 | 3 | 4 | 5 |
| 거리 | 0 | 4 | 4 | 3 | INF |
따라서, 노드 1에서는 노드 5를 방문하지 못함을 알 수 있다.
'코딩 테스트 > 최단경로' 카테고리의 다른 글
| [백준 10282번] 해킹 문제 풀이 (0) | 2023.08.09 |
|---|---|
| [백준 1238번] 파티 문제 풀이 (0) | 2023.08.08 |
| [백준 1504번] 특정한 최단 경로 문제 (0) | 2023.08.07 |
| [백준 6593번] 상범 빌딩 문제 풀이 (0) | 2023.08.06 |
| [개념] 다익스트라 알고리즘 (0) | 2023.08.03 |
댓글